Các chủ xe máy, ô tô vi phạm tại TP. Hà Nội có biển số sau phải nộp phạt nguội theo Nghị định 168

Các chủ xe máy, ô tô vi phạm tại TP. Hà Nội có biển số sau phải nộp phạt nguội theo Nghị định 168

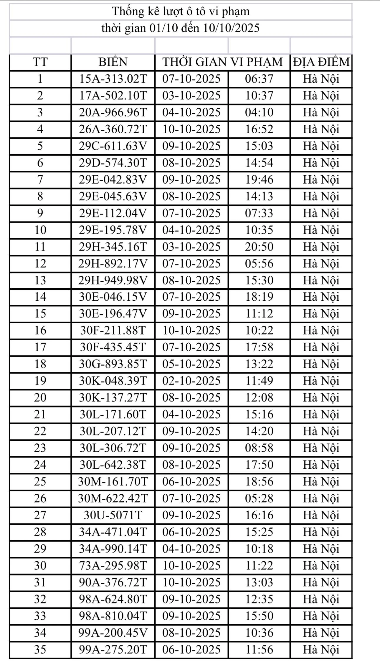
Công an TP. Hà Nội 41 trường hợp vi phạm trên địa bàn

Cổng thông tin điện tử Công an TP. Hà Nội mới đây cho biết, từ ngày 1/10 đến 10/10, thông qua Hệ thống camera giám sát giao thông, Phòng Cảnh sát Giao thông đã phát hiện, ghi hình 41 trường hợp phương tiện vi phạm (bao gồm cả ô tô và mô tô).

Không có bình luận

Đọc thêm